Download PDF →
About the Author (at the time of writing): Rich “R2” Roberts works for the Air Combat Command (A3AA, Airspace) at Langley Air Force Base, VA; Al “Shäf” Shafer, is employed at Headquarters, Department of the Air Force (A3O-BAA, Airspace) in the Pentagon; Patrick “p2” Pope, works for the JS J8 Joint Fires Division, Norfolk, VA.
Many have heard of, and used, airspace coordinating measures (ACMs) and fire support coordination measures (FSCMs). Until a few years ago, as a graybeard combat airspace, air operations center (AOC) guy and former AOC formal training unit instructor (R2), and multi-tour air liaison officer (ALO) and former combat air operations center (CAOC) Chiefs of Combat Operations (p2 and Shaf), we thought ACMs restricted “things” from going through ACMs unless they were coordinated with a controlling agency. We thought ACMs protected aircraft orbiting in a restricted operating zone (ROZ) from other aircraft and fires (i.e., artillery, Guided Multiple Launch Rocket System (GLMRS), Multiple Launch Rocket System (MLRS) etc.). We were wrong!
As we got smart on this issue, we found there were over 160 usages based on joint and North Atlantic Treaty Organization doctrine as well as a proposed airspace tool called joint airspace management and deconfliction (JASMAD), now known as airspace management application. With the help of subject matter experts (SMEs) at Langley Air Force Base, Fort Leavenworth, KS, and Fort Sill, OK, we determined FSCMs listed in Joint Pub (JP) 3-09, Joint Fires, were also listed as ACM usages (not FSCMs) in United States Message Text Format (USMTF) and in JP 3 52, Joint Airspace Control.
So, “Houston, we have a problem.” This is a problem with conflicting Joint pubs and a plethora of ACM usages. To help solve this issue, we briefed the Army Air Force Integration Forum (AAFIF), identifying the need to deconflict ACMs and FSCMs in the Joint pubs and to research the ops requirement for the 160 plus ACM usages listed. In May 2010, Joint Forces Command (JFCOM) Joint Staff (J8), Deputy Director, C4 Joint Fires Division (formerly Joint Fires Branch, J85) offered to work the issue from a joint perspective; AAFIF agreed that the Joint Fires Support (JFS) Executive Steering Committee (ESC) is the right forum to gather the multiple SMEs to work the issue.
The JFS ESC hosted two Defense Communications Online (DCO) meetings with joint fires, airspace, command and control (C2), and operations SMEs explaining the issues and hosted a working group at the Combat Airspace Conference (CAC) in June 2010.
At the CAC, JFCOM hosted a working group led by Herb Foret and Al Shafer. Working group participants included the same disciplines as the DCOs plus coalition partners. Shafer briefed the DCO vetted draft list of simplified coordination measures (CMs) which included ACMs; FSCMs; and new categories called maritime measures, air defense measures, air traffic control, air reference measures, and maneuver measures.
The CAC working group agreed with reducing the amount of ACM usages and with the concept of new coordination measure categories. Everyone agreed standardization and simplification of CMs was prudent to help the airspace C2 warrior. Following the 2010 CAC, JFCOM hosted four DCO meetings with the same SME discipline representatives working the issues. The SMEs agreed to a new, smaller, standardized list of five ACMs (i.e., ROZ, air corridors (AIRCORS), coordination altitude (CDALT), NOFLY, high density airspace control zone (HIDACZ)) which all airspace and fires systems will recognize. Also, ACMs will restrict all airspace users from flying/shooting through the ACM unless they properly coordinate to use that airspace. Thus, an ACM will protect an aircraft orbiting or using an ACM from other friendly airspace users, including fires. This supports the airspace tenant of minimizing fratricide. The new ACM concept also does not restrict combat operations (another basic tenant of airspace control), permitting airspace users to transit/shoot through an ACM, if they coordinate.
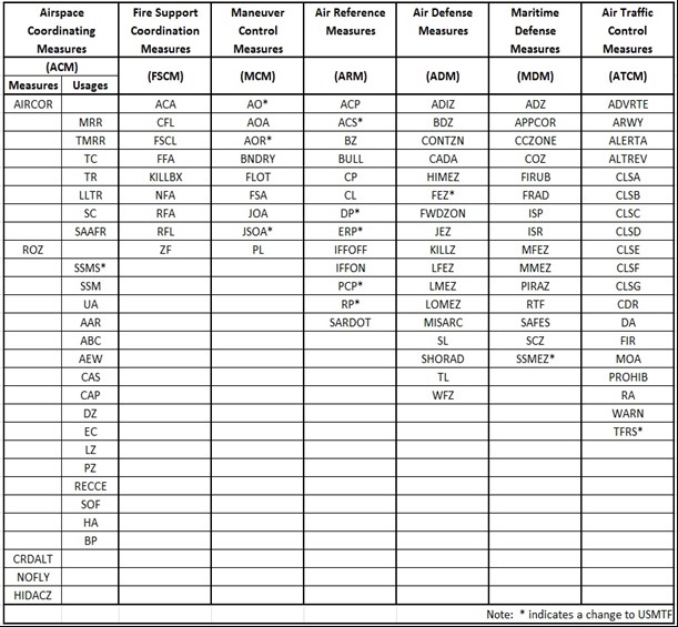
The first “spiral” of improvements in coordination measures came from the JFS ESC 06. In Dec 2010, the Airspace Sub-Working Group (established by the JFS ESC) submitted a revised Spiral 1 list of CMs (figure 1) streamlining and categorizing measures and usages. The Spiral 1 CM list reduces 168 usages of coordination, control, and other measures to 97, and puts them into seven categories. The spiral approach was chosen to permit service program managers and doctrine centers to begin refining and focusing improvements in C2 systems and tactics, techniques, and procedures. Subsequent spirals will further refine CMs that weren’t resolved in the first. Specifically, further work is needed on air and maritime defense measures. Additionally, the JFS ESC has agreed to continue efforts to update and reconcile joint publications to reflect these changes.

Figure 1: Coordination Measures (Spiral 1)
Related to this streamlining is ALSA’s effort to consolidate several airspace-related, multi-service tactics, techniques and procedures (MTTPs) into a single document. Directed by its Joint Actions Steering Committee, in January 2012 ALSA began writing an Airspace Control and Fires Integration (ACFI) MTTP which is expected to enhance the airspace planner, executor, and C2 community as a “one-stop” TTP vice the current proliferation of TTPs and doctrine. There are possible changes to JP 3-52 and JP 3-09, which, together with the new ACFI MTTP, will help the airspace C2 community shift from a deconfliction to an integration mindset.
Airspace control has become a complex challenge for commanders and will become more complex in combat, non-combat, and civil-military operations. Improved precision munitions, new weapon systems, and the proliferation of unmanned aircraft systems have increased the effectiveness of fires while complicating the task of airspace control. The current plan-centric method of controlling airspace does not enable commanders to fully integrate all airspace users during ongoing operations in or near real time. While detailed planning will remain critical, airspace control will increasingly shift from plan- to execution-centric and from deconfliction- to integration-oriented.
Critical to improving airspace and fires integration is the joint interoperability of service-owned command, control, communications, and computer (C4) systems. Specifically, common language and terms are necessary within current data schemas to better enable machine-to-machine interfaces. Convergent evolution of service-owned C4 systems is a cost-effective way to decrease coordination time, increase operational tempo and combat effectiveness, improve integration, and lower fratricide risk.
Over the long term, the joint, service, agency, and partner nation communities must cooperate to facilitate the convergent evolution, functionality, and interoperability of current and future C2 and weapon systems to display near real time dynamic airspace changes in a joint airspace operating environment.
Disclaimer. The opinions, conclusions, and recommendations expressed or implied within are those of the contributors and do not necessarily reflect the views of the Department of Defense or any other agency of the Federal Government.